通知
FOCA MARKETS不会以任何名义通过电话、短信或邮件等方式要求客户提供帐户等个人信息,若有任何疑问,请在官网或官方APP内咨询在线客服核实。
关闭

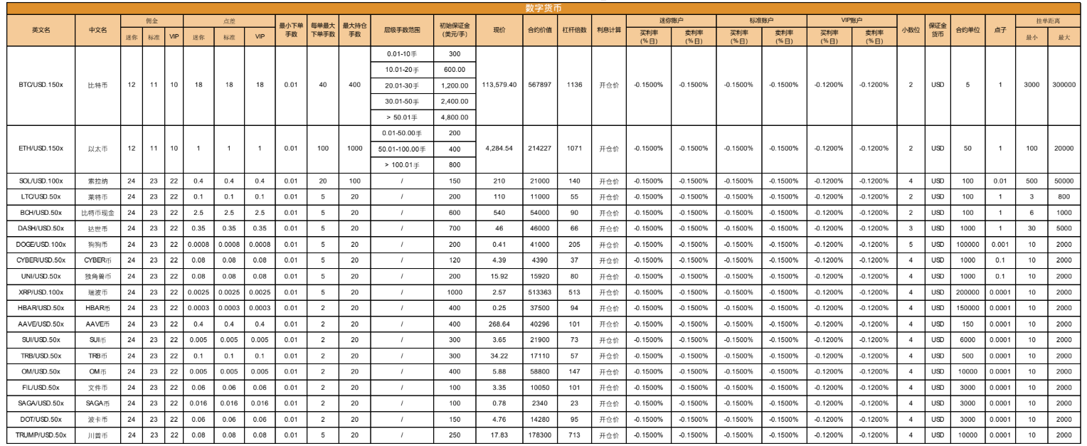
数字货币

来源于:本站

发布日期:2025-12-31


温馨提示:本站所有文章来源于网络整理,目的在于知识了解,文章内容与本网站立场无关,不对您构成任何投资操作,风险 自担。本站不保证该信息(包括但不限于文字、数据、图表)全部或者部分内容的准确性、真实性、完整性、原创性。相关信 息并未经过本网站证实。

数字货币

合约细则

查看更多